CAT 2019 Quantitative Ability - slot 02
CAT 2019 Quantitative Ability Slot 01
(Total questions: 34)
Question 01: The real root of the equation 26x + 23x+2 – 21 = 0 is:

Question 02: The average of 30 integers is 5. Among these 30 integers, there are exactly 20 which do not exceed 5. What is the highest possible value of the average of these 20 integers?
(2) 5
(3) 4.5
(4) 3.5
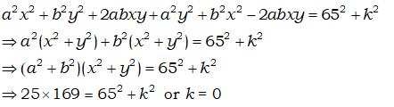
Question 03: Let a, b, x, y be real numbers such that a2 + b2 = 25 , x2 + y2 = 169 and ax + by = 65.
If k = ay – bx, then

Given that ax + by = 65 and ay – bx = k
Square and add both the equations, 
Question 04: In a triangle ABC, medians AD and BE are perpendicular to each other, and have lengths 12 cm and 9 cm, respectively. Then, the area of triangle ABC, in sq cm, is:
We know that all the medians intersect at centroid G, and divide each other in the ratio 2 : 1, hence AG = 8 and GD = 4. Also given that AD is perpendicular to BE.
Area of the triangle ABE = (1/2)×BE×AG = (1/2)×9×8 = 36

Area of the triangle ABC = 2×Area of the triangle ABE = 2×36 = 72
Question 05: Let a1, a 2, a3, ..... be integers such that a1 – a2 + a3 – a 4 + ........ +(–1)n-1 an = n , for n ≥ 1. Then a51 + a52 + ........ + a1023 equals:
(2) 1
(3) 0
(4) 10

Question 06: How many factors of 24 × 35 × 104 are perfect squares which are greater than 1?
The number 24 × 35 × 104 can be written as
24 × 35 × 24 ×54 = 28 × 35 ×54
To
get a factor that is a perfect square, we can take even powers of 2, 3 and 5.
In 28, only powers of 0, 2, 4, 6, 8 can lead to perfect squares - 5 ways
In 35, only powers of 0, 2, 4 can lead
to perfect squares - 3 ways
In 54, only powers of 0. 2, 4 can lead to perfect squares - 3 ways
Number of such factors = 5×3×3 = 45.
But one of these factors is 1, that has to be subtracted.
Thus
number of required factors = 45 – 1 = 44
Question 07: Two circles, each of radius 4 cm, touch externally. Each of these two circles is touched externally by a third circle. If these three circles have a common tangent, then the radius of the third circle, in cm, is
(2) 1
(3) √2
(4) 1/√2
Given that circles are touching externally, so AB will be the length of direct common tangent of the two bigger circles.
AC is the length of the direct common tangent of smaller and bigger circle.
We know that length
of the direct common tangent of two circles is \( =\sqrt{d^2-(r_1-r_2)^2} \)
Where d is the distance between the centres and r1 and r2 are the radii of circles. When circles touch externally, then d = r1 + r2


Question 08: What is the largest positive integer value of \(n\) such that \( \cfrac{n^2+7n+12}{n^2-n-12} \) is also positive integer?
(2) 8
(3) 16
(4) 12

Now \(\cfrac{8}{n-4}\) has to be an integer and n is the largest positive number. So \((n – 4)\) can take a maximum value of 8.
=> \((n – 4)\) = 8 or \(n\) = 12
Question 09: In 2010, a library contained a total of 11500 books in two categories - fiction and non-fiction. In 2015, the library contained a total of 12760 books in these two categories. During this period, there was 10% increase in the fiction category while there was 12% increase in the non-fiction category. How many fiction books were in the library in 2015?
Total increment in the books during the period = 12760 – 11500 = 1260
Suppose in 2010, number of fiction books was x, so the number of non fiction book = 11500 – x
Now 0.1x + 0.12×(11500 – x) = 1260
or x = 6000.
Hence number
of fiction books in 2015 = 6000 + 10% of 6000 = 6600
Question 10: Let f be a function such that \(f(mn) = f(m) f(n)\) for every positive integers \(m\) and \(n\). If f(1), f(2) and f(3) are positive integers, f(1) < f(2), and f(24) = 54, then f(18) equals:
Let us first calculate f(1), put m = 1 and n = 2,
f(1×2) = f(1) f(2) or f(1) = 1, so f(2) > 1
f(24) = f(2×12) = f(2)×f(12) = f(2)×f(2×6)
= f(2)×f(2)×f(6) = f(2)×f(2)×f(2)×f(3)
= 54 = 3×3×3×2
By comparison, f(2) = 3 and f(3) = 2
Now f(18) = f(3×3×2) = f(3)×f(3)×f(2) = 2×2×3 = 12
Question 11: Let A and B be two regular polygons having a and b sides, respectively. If b = 2a and each interior angle of B is 3/2 times each interior angle of A, then each interior angle, in degrees, of a regular polygon with a + b sides is:
We know that exterior angle in a regular polygon having n sides is 360/n and the interior angle = 180 – (360/n)
In this question,
interior angle of A = 180 – (360/a) and interior angle of B = 180 – (360/b) = 180 – (360/2a)

Question 12: A cyclist leaves A at 10 am and reaches B at 11 am. Starting from 10:01 am, every minute a motorcycle leaves A and moves towards B. Forty-five such motorcycles reach B by 11 am. All motorcycles have the same speed. If the cyclist had doubled his speed, how many motorcycles would have reached B by the time the cyclist reached B?
(2) 20
(3) 15
(4) 23
Given that 45 motorcycles reach B by 11 am, as the first motorcycle starts at 10:01, so the 45th would have started at 10:45 and it had taken 15 minutes to reach to the point B.
Now the cyclist has doubled the speed, so he would reach the point B at 10:30, and thus the last motorcycle will also reach the point B at 10:30. As each motorcycle takes only 15 minutes to reach to B, so the last motorcycle might have started at 10:15, and it is 15th motorcycle.

Question 14: John jogs on track A at 6 kmph and Mary jogs on track B at 7.5 kmph. The total length of tracks A and B is 325 metres. While John makes 9 rounds of track A, Mary makes 5 rounds of track B. In how many seconds will Mary make one round of track A?

Question 15: Anil alone can do a job in 20 days while Sunil alone can do it in 40 days. Anil starts the job, and after 3 days, Sunil joins him. Again, after a few more days, Bimal joins them and they together finish the job. If Bimal has done 10% of the job, then in how many days was the job done?
(2) 12
(3) 15
(4) 14
Suppose the total work is 40 units (LCM of 20 and 40), then Anil can do 2 units of work per day and Sunil can do 1 unit of the work per day.
During the first 3 days Anil has done 3×2 = 6 units of the work.
Bimal
has contributed 10% of the work = 4 units of the work.
Thus Anil and Sunil have completed the remaining work that is 40 – 6 – 4 = 30 units, working together. As working together they can do 3 units of the work
per day, so they will take only 30/3 = 10 days.
Total number of days occupied = 3 + 10 = 13.
Question 16: In an examination, Rama's score was one-twelfth of the sum of the scores of Mohan and Anjali. After a review, the score of each of them increased by 6. The revised scores of Anjali, Mohan, and Rama were in the ratio 11:10:3. Then Anjali's score exceeded Rama's score by:
(2) 32
(3) 24
(4) 35
Suppose the revised scores of Anjali, Mohan, and Rama are 11x, 10x and 3x.
Then their initial score must be 11x – 6, 10x – 6 and 3x – 6.
Given that,
(11x – 6) + (10x – 6) = 12×(3x – 6)
=> 21x – 12 = 36x – 72 or x = 4
Difference of the scores of Anjali and Rama = 11x – 3x = 8x = 8×4 = 32
Question 17: In an examination, the score of A was 10% less than that of B, the score of B was 25% more than that of C, and the score of C was 20% less than that of D. If A scored 72, then the score of D was
Suppose score of D is x, then
score of C is 80% of x = (4/5)x
score of B is 125% of C = 1.25×(4/5)x = x
score of A is 90% of B = 0.90x
Given that 0.90x = 72 => x = 80
Thus score of D = 80
Question 18: The base of a regular pyramid is a square and each of the other four sides is an equilateral triangle, length of each side being 20 cm. The vertical height of the pyramid, in cm, is
(2) 8√3
(3) 12
(4) 5√5
The square base is ABCD. Also the triangle PAB is an equilateral triangle of side 20.
The slant height is PN, where N is the mid point of the side AB, so AN = 10.

PN2 = PA2 – AN2 = 202 – 102 = 300
As M is the centre of the square ABCD, so MN = 10
PM2 = PN2 – MN2 =
300 – 100 = 200
PM = 10√2
Question 19: A shopkeeper sells two tables, each procured at cost price p, to Amal and Asim at a profit of 20% and at a loss of 20%, respectively. Amal sells his table to Bimal at a profit of 30%, while Asim sells his table to Barun at a loss of 30%. If the amounts paid by Bimal and Barun are x and y, respectively, then (x −y)/p equals
(2) 1
(3) 1.2
(4) 0.50
Cost price of the table = p
Cost of table for Aman = 1.2p
Cost of table for Asim = 0.8p
Aman sells to Bimal at 30% profit, so cost of table for Bimal = 1.3×1.2p =1.56p = x
Asim sells table to Barun at at 30% loss, cost of table for Barun = 0.7×0.8p = 0.56p = y
x – y = 1.56p – 0.56p = 1.00 p
=>(x – y)/p = 1
Question 20: Mukesh purchased 10 bicycles in 2017, all at the same price. He sold six of these at a profit of 25% and the remaining four at a loss of 25%. If he made a total profit of Rs. 2000, then his purchase price of a bicycle, in Rupees, was
(2) 6000
(3) 4000
(4) 2000
Suppose the purchase price of a bicycle is p, then
6p×0.25 + 4p×(– 0.25) = 2000
=> 1.50p – p = 2000
or p = 4000
Question 21: John gets Rs 57 per hour of regular work and Rs 114 per hour of overtime work. He works altogether 172 hours and his income from overtime hours is 15% of his income from regular hours. Then, for how many hours did he work overtime?
Suppose number of overtime hours = x and number of regular hours = (172 – x), then
114x = 0.15×(172 – x)×57
=> 2x = 0.15×(172 – x)
=> 2.15x = 0.15×172
=> x = 12
Question 22: A man makes complete use of 405 cc of iron, 783 cc of aluminium, and 351 cc of copper to make a number of solid right circular cylinders of each type of metal. These cylinders have the same volume and each of these has radius 3 cm. If the total number of cylinders is to be kept at a minimum, then the total surface area of all these cylinders, in sq cm, is
(2) 928 π
(3) 1044(4 + π)
(4) 1026(1+π)
Given that the man makes complete use of 405 cc of iron, 783 cc of aluminum, and 351 cc of copper, thus volume of each cylinder is HCF of 405, 783 and 351.
HCF(405, 351, 783) = HCF(405 – 351, 351, 783) = HCF(54,
351, 783) = 27.
Total number of cylinders that can be made = (405 + 351 + 783)/27 = 57
Volume of each cyclider = 27, as radius of each cylinder is 3 (given), suppose height of each cylinder is h, then
π(32)h = 27 or h = 3/π
Total surface area of one cylinder = 2πrh + 2πr2 = 2πr(r + h)
= 2π×3(3 + 3/π) = 18(π + 1)
Total surface area of 57 cylinders = 57×18(π + 1) = 1026(π + 1)
Question 23: If x is a real number, then \(\sqrt {{{\log }_e}\cfrac{{4x - {x^2}}}{3}} \)
is a real number if and only if
(2) 1 ≤ x ≤ 2
(3) 1 ≤ x ≤ 3
(4) – 1 ≤ x ≤ 3

Question 24: Let ABC be a right-angled triangle with hypotenuse BC of length 20 cm. If AP is perpendicular on BC, then the maximum possible length of AP, in cm, is:
(2) 8√2
(3) 6√2
(4) 5
We know that angle subtended by diameter of a circle at any point of the circumference is 90°. So take side BC of the triangle as diameter of the circle. Diameter of this circle will be 20. The point A can be any where on the circumference of the circle, irrespective of its position the angle A will always be 90°.
From the diagram, it is clear that maximum length of the perpendicular AP can be equal to radius of the circle.

Maximum value of AP = 10
Question 25: Two ants A and B start from a point P on a circle at the same time, with A moving clock-wise and B moving anti-clockwise. They meet for the first time at 10:00 am when A has covered 60% of the track. If A returns to P at 10:12 am, then B returns to P at:
(2) 10:25 am
(3) 10:45 am
(4) 10:18 am
Suppose circumference of the circle is 100 units, then in the same time A has covered 60 units and B has covered 40 units. Ratio of their speeds = 3 : 2.
Now A takes 12 minutes to reach to P after completing remaining 40 units,
speed of A = 40/12 = 10/3
So speed of B = (2/3)×(10/3) = 20/9
Now B has to cover 60 units to reach to P.
Time taken by B to reach to the point P = \(\cfrac{60}{20/9} = 27\)
Question 26: How many pairs (m,n) of positive integers satisfy the equation the equation m 2 + 105 = n2?
The equation can be written as
m2 – n2 = 105
=> (m + n)(m – n) = 105
Since m and n are positive integers, so (m + n) > (m – n).
105 = 3×5×7, it has (1 + 1)(1+ 1)(1 + 1) = 8 factors.
Thus 105 can be written as product of two factors in 8/2 = 4 ways.
Question 27: The salaries of Ramesh, Ganesh and Rajesh were in the ratio 6:5:7 in 2010, and in the ratio 3:4:3 in 2015. If Ramesh's salary increased by 25% during 2010-2015, then the percentage increase in Rajesh's salary during this period is closest to:
(2) 8
(3) 9
(4) 10
Suppose salaries of Ramesh, Ganesh and Rajesh were 6x, 5x and 7x in 2010. And their respective salaries in 2015 were 3y, 4y and 3y.
Given that Ramesh's salary increased by 25% during 2010-2015, then
3y = 1.25(6x)
=> y = 2.5x
or y : x = 5 : 2
Take x = 2k and y = 5k, then salary of Rajesh in 2010 = 7x = 14k and in 2015 = 3y = 15k
Choice (1) is correct.
Question 28: The quadratic equation x2 + bx + c = 0 has two roots 4a and 3a, where a is an integer. Which of the following is a possible value of b2 + c?
(2) 549
(3) 361
(4) 427
The two roots of the quadratic equation x2 + bx + c = 0 are 4a and 3a,
sum of the roots = 4a + 3a = – b
=> 7a = – b
or 49a2 = b2 .................................(1)
Product of the roots = (4a)(3a) = c
=> 12a2 = c ...................................(2)
Adding equations (1) and (2),
61a2 = b2 + c
Since a is an integer so a2 is a perfect square.
The correct answer is the one that is of the type 61×perfect square
3721 = 61×61
549 = 61×9
361 is not a multiple of 61
427 = 61×7
Clearly 549 is the correct answer.
Question 29: In a six-digit number, the sixth, that is, the rightmost, digit is the sum of the first three digits, the fifth digit is the sum of first two digits, the third digit is equal to the first digit, the second digit is twice the first digit and the fourth digit is the sum of fifth and sixth digits. Then, the largest possible value of the fourth digit is:

Question 30: The number of common terms in the two sequences: 15, 19, 23, 27, ...... , 415 and 14, 19, 24, 29, ...... , 464 is
(2) 18
(3) 21
(4) 19
Both the given series are APs. So their common terms will also form an AP having a common difference that is LCM of common differences of two given APs.
common difference of the first AP = 4
common difference of the second AP = 5. So common difference of the series containing the common terms = LCM(4, 5) = 20
The first common term is 19, and the common difference = 20
So the common series will be 19, 34, 49 ....
19 + (n – 1)×20 < 415
=> (n – 1)×20 < 396
=> (n – 1) < 19.8
or n < 20.8
Hence number of common terms = 20.
Number of terms in the series (2n+1) + (2n+3) + (2n+5) + ... + (2n+47) is 24.
Also sum of the first k odd numbers is k2, that means
1 + 3 = 22
1 + 3 + 5 = 32
1 + 3 + 5 + 7 = 42 etc.
Sum of the series (2n+1) + (2n+3) + (2n+5) + ... + (2n+47) = 2n×24 + 242
2nx24 = 5280 - 242
2n = 220 - 24
=> n = 98
Now 1 + 2 + 3 + 4 + ......+ n = n(n + 1)/2 = 98×99/2 = 4851
Question 32: The strength of a salt solution is p% if 100 ml of the solution contains p grams of salt. Each of three vessels A, B, C contains 500 ml of salt solution of strengths 10%, 22%, and 32%, respectively. Now, 100 ml of the solution in vessel A is transferred to vessel B. Then, 100 ml of the solution in vessel B is transferred to vessel C. Finally, 100 ml of the solution in vessel C is transferred to vessel A. The strength, in percentage, of the resulting solution in vessel A is:
(2) 12
(3) 13
(4) 14
Initially vessel A is containing 500 ml in which salt quantity is 50 grams. We are transferring 100 ml of this solution (that will contain only 10 grams of salt) to vessel B. After the first transfer quantity of salt in vessel B will be 110 + 10 = 120 in 600 ml solutions of B.
Now 100ml of B (that will contain only 120/6 = 20 grams of salt) are transferred to C, so the quantity of salt in C = 160 +20 = 180 grams.
Now 100 ml of C (that contains 180/6 = 30 g of salt) are transferred to A.
Quantity of salt in A = 40 + 30 = 70 g.
Strength of A = 70/5 = 14%
Question 33: If 5x – 3y = 13438 and 5x–1 + 3y+1 = 9686 , then x + y equals
Question 34: Amal invests Rs 12000 at 8% interest, compounded annually, and Rs 10000 at 6% interest, compounded semi-annually, both investments being for one year. Bimal invests his money at 7.5% simple interest for one year. If Amal and Bimal get the same amount of interest, then the amount, in Rupees, invested by Bimal is
The interest earned by Anmol = 12,000×(0.08) = 960
The amount on the second investment of Anmol = 10,000×(1.03)2 = 10,609
So the Interest on this investment is 10,609 - 10,000 = 609.
Total interest earned by Anmol = 960 + 609 = 1569
Suppose Bimal invests P rupees at 7.5%, then
P×0.075 = 1569
=> P = 20920